- Order before 5:00 PM & get your scan by Tomorrow.
- Select “Quick Scan” at checkout.
- Get your printed copy couriered within 2 - 3 Days.
- Select “Express Courier” at address details.
What is a Demand Notice?
A Demand Notice is a formal legal document sent to a person or business to ask for payment or action before starting legal proceedings. It clearly explains the problem, states what’s owed or expected, sets a deadline for response, and warns that legal action may follow if ignored.
Usually, it’s the first official step to solve issues like unpaid debts, contract breaches, rental disputes, or consumer complaints before going to court. A Demand Notice serves two key purposes:
- It formally alerts the recipient about their legal obligation and gives them an opportunity to settle the issue without further escalation.
- It becomes part of the legal record, showing that you tried to resolve the matter amicably—this can strengthen your case if you later need to go to court.
👉 Want to Take the First Legal Step? Use Our Legally-Sound Demand Notice Format to Draft It Yourself or Get Drafted by Legal Experts Today!
Steps for Drafting and Sending Legal Demand Notice
Simply download your Demand Notice PDF, send it to anyone online securely, or have the physical copy delivered right to your doorstep - all with professional handling and proof of receipt. Follow these easy steps to ensure your legal notice of demand is prepared or sent fast and safely.
Why Choose DigiLawyer for Sending Demand Letter to Recipient?
Need to send a legal notice demanding payment or other obligations? We make it simple - With DigiLawyer, you get help from real lawyers, strong legal documents, and quick delivery - all without leaving your home.






How Can DigiLawyer Help You?
Easy Drafting: No legal jargon. No confusion. Just a clean, guided process that helps you draft a well-formatted legal demand notice in minutes. Whether you do it yourself or get a little help from our legal experts, we make sure it’s clear, confident, and to the point.
Legal Validation: Every notice is reviewed, signed, and stamped by a licensed advocate ensuring it meets legal standards, increases enforceability, and stands strong in any legal scrutiny.
Downloadable Format: Your finalized draft of demand notice is available online for instant download in PDF format - ready to print, share, or archive for your records.
Convenient Delivery: Choose how your notice is delivered: via WhatsApp, email, speed post, or registered courier. We ensure your notice is sent securely, professionally, and with proper documentation of delivery and proof.
When to Send a Legal Notice for Demand?
Sending a demand notice at the right time is crucial for legal effectiveness:
- After a Breach of Contract or Non-Performance: When a party fails to fulfill contractual duties such as payment, delivery, or service obligations.
- When Informal Communication Fails: After unsuccessful attempts to resolve the issue through phone calls, emails, or negotiations.
- Within the Statutory Limitation Period: To keep your legal claim valid under applicable laws.
- To Avoid Court Litigation and Promote Settlement: Gives the other party an opportunity to comply before initiating formal legal proceedings.
- To Establish Written Evidence: Creating a documented trail of your claim that can be used as proof in arbitration, mediation, or civil court.
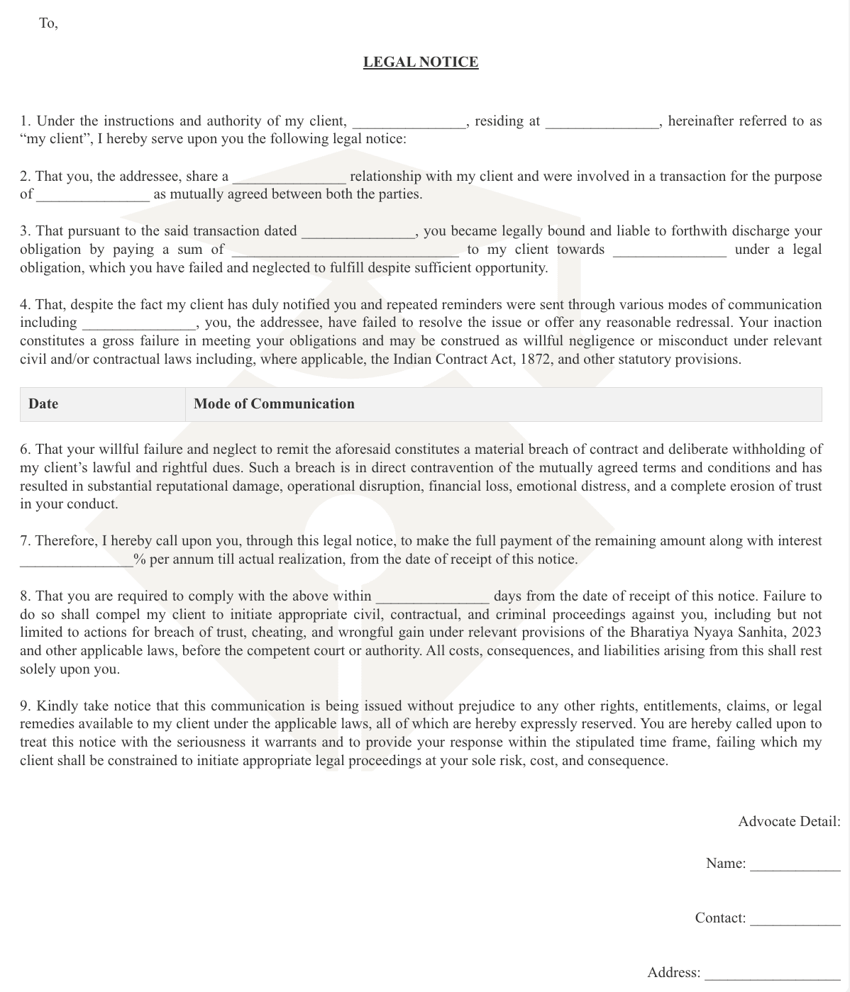
What Does a Demand Notice Include?
1. Details of both parties involved - The demand notice should clearly identify both the sender (creditor/claimant) and the recipient (debtor/obligor).
2. Detail of situation - The notice should describe the background or context—why the notice is being sent (e.g., nature of the obligation, breach, or event).
3. Specifics of the amount due or obligation unfulfilled - It should state the exact amount owed or clearly describe the specific obligation that has not been met.
4. A reasonable time (usually 7 to 15 days) to comply - The notice should specify a reasonable deadline for compliance. While 7 to 15 days is common, the exact period can vary depending on the nature of the claim and legal requirements.
5. Consequences of non-compliance (e.g., legal action) - The notice should warn about the consequences if the demand is not met, such as the initiation of legal proceedings or other actions.
Common Reasons for Sending a Demand Notice
These are indeed common and valid reasons for sending a demand notice. Here’s a brief confirmation and clarification for each point:
1. Outstanding Invoices or Bills: These legal notice for demanding due recovery are often sent when payment for goods or services remains unpaid past the due date.
2. Breach of Contract: If one party fails to adhere to the terms of the contract, a demand notice for contract breach may be issued to seek compliance or compensation.
3. Breach of Duty: This applies when someone fails to perform a legal, contractual, or fiduciary duty, and a demand notice is sent to rectify the breach.
4. Recovery of Dues: A demand notice for recovery of money covers situations like unpaid loans, rent, taxes, or any other financial obligations.
5. Pendency of Work: If work or services agreed upon are not completed, a legal notice can be issued to demand completion or compensation.
Consequences of Ignoring Demand Notice
- Legal action such as lawsuits may be initiated.
- Risk of ex-parte judgment (court decision made without your presence).
- Increased financial penalties, interest, and legal fees.
- Weakened defense in court due to perceived unwillingness to resolve.
- Loss of opportunity for out-of-court settlement or negotiation.
- Escalation of dispute to regulatory bodies or insolvency proceedings.
- Potential reputational damage, especially for businesses.
- Possible loss of rights to contest the claim later.
Responding promptly or seeking legal advice is important to avoid these consequences.
Governing Laws
Depending on the nature of the default, different laws may apply:
- Goods and Services Tax (GST) Act - In tax matters, authorities issue Demand Notices under various GST provisions to notify taxpayers of outstanding tax demands and penalties.
- Code of Civil Procedure, 1908- Provides procedure for filing recovery suits.
- Negotiable Instruments Act, 1881- For dishonored cheques (Section 138).
- Insolvency and Bankruptcy Code (IBC), 2016- For recovery from insolvent individuals or businesses in default (above specified limits).
FAQs Related to Demand Notice
A demand notice is issued when someone fails to pay money or fulfill a legal obligation, even after reminders. It is usually the first formal legal step taken before going to court. Common situations include unpaid rent, pending invoices, unreturned loans, or breach of contract.
A demand notice is not a court order, but it is an important legal document. It shows that you gave the other party a fair chance to settle the issue before taking legal action. It can be used as proof in court to support your case and is taken seriously under the law.
Yes, the person who receives the Demand Notice can challenge it. They may reply with their side of the story, deny the claims, ask for more time, or try to settle the matter. If the issue goes to court, both the notice and the reply will be considered by the judge.
A legally valid demand notice usually takes 1 to 2 business days to prepare, depending on how complex the case is and how quickly we get the required information from you. Urgent cases can be handled faster on request.
Yes, we provide industry-specific format for demand notices that are tailored to your needs. Whether it’s employment-related, real estate, contracts, service disputes, or consumer issues, we prepare notices that fit your situation and follow the correct legal format.
Our demand notice drafting service starts at ₹999. This includes a professionally written, legally valid notice tailored to your case. If you need additional legal consultation or follow-up support, separate charges may apply based on your requirements.
Yes, we do. If the other party denies your claims or sends a reply to the demand notice, we offer legal consultation to guide you on the next steps. This may include negotiating a settlement, sending a counter-response, or starting legal proceedings in court if needed.
A demand notice should be sent in a way that proves delivery, such as:
- Registered post with acknowledgment due (RPAD)
- Speed post
- Courier with tracking
- Email (with delivery/read receipts in some cases)
Using a reliable method helps you prove that the notice was properly served if the matter goes to court.
If you receive a demand notice, do not ignore it.
- Read carefully to understand the claim.
- Consult with a lawyer to assess your options.
- Respond within the given time, either by settling the issue, denying the claim, or negotiating a solution.
Ignoring the notice may lead to legal action against you.
Yes, a demand notice is often sent to encourage an out-of-court settlement. If the other party agrees to your terms or negotiates a solution, the matter can be resolved peacefully without going to court.
Yes, a demand notice can be used as important evidence in court. It shows that you gave the other party a fair chance to resolve the issue before filing a case.













