- Order before 5:00 PM & get your scan by Tomorrow.
- Select “Quick Scan” at checkout.
- Get your printed copy couriered within 2 - 3 Days.
- Select “Express Courier” at address details.
What is a Subletting Agreement?
A Subletting Agreement is a written contract between a tenant (the person who is already renting the property) and a subtenant (the person who will use the property for a limited time). This agreement clearly outlines the terms of the arrangement, including rent, duration, responsibilities, and conditions.
Even after subletting, the original tenant remains responsible to the landlord. Therefore, it is important to have everything documented to avoid confusion or legal issues.
Why Choose DigiLawyer to Draft Subletting Agreement?
Need to draft an agreement? We make it simple - With DigiLawyer, you get help from real lawyers, strong legal documents, and quick delivery - all without leaving your home.




How Can DigiLawyer Help You?
Easy Drafting: No legal jargon. No confusion. Just a clean, guided process that helps you draft your agreements in minutes. Whether you do it yourself or get a little help from our legal experts, we make sure it’s clear, confident, and to the point.
Legal Validation: Every agreement is reviewed, signed, and stamped by a licensed advocate ensuring it meets legal standards, increases enforceability, and stands strong in any legal scrutiny.
Convenient Delivery: Choose how your agreement is delivered: via WhatsApp, email, speed post, or registered courier. We ensure your agreement is sent securely, professionally, and with proper documentation of delivery and proof.
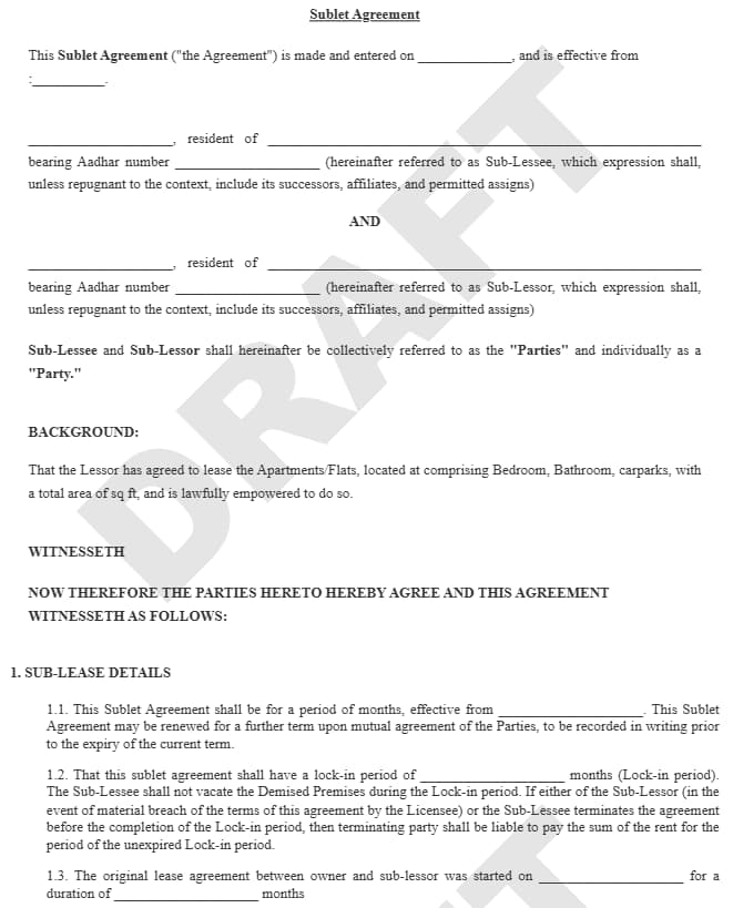
Key Clauses Covered in Our Subletting Agreement
- Parties Involved (Landlord, Tenant, Subtenant)- Clearly identifies all individuals and their roles in the subletting arrangement.
- Property Description- Provides accurate details of the property being sublet, including address and key features.
- Sublet Term & Termination- Specifies the duration of the sublease and the conditions for early termination.
- Rent Amount & Payment Terms- Outlines the monthly rent, due dates, and mode of payment.
- Security Deposit Terms- States the amount, purpose, and refund process of the security deposit.
- Maintenance Responsibilities- Clarifies who is responsible for upkeep and repairs during the sublet period.
- Compliance with Original Lease- Ensures that the subtenant follows the terms of the original lease agreement.
- Restrictions on Use- Lists any limitations on how the property can be used by the subtenant.
- Indemnity and Liability Clauses- Protects the tenant from losses caused by the subtenant’s actions or negligence.
- Landlord’s Consent (if applicable)- Confirms whether the landlord’s written approval is required for the sublet to be valid.
Who Should Use a Subletting Agreement?
A subletting agreement is useful for anyone involved in a temporary rental arrangement. Here’s who can benefit from it:
- Tenants who need to move out temporarily: If you’re a tenant planning to leave the property for a few months (due to work, travel, or personal reasons) but want to keep your lease active, a subletting agreement allows you to let someone else stay in your place legally and safely.
- Individuals who want to live as subtenants: If you are moving into a property that is already being rented by someone else, a subletting agreement gives you clarity on your rights, rent terms, and responsibilities. It helps you stay protected during your stay.
- Landlords and property managers: If you own or manage a property, a subletting agreement ensures that any sublease is properly recorded, lawful, and in line with the original lease terms. It also helps you keep track of who is staying in your property.
FAQs Related to Subletting Agreements
Yes. It is a valid and enforceable legal document, provided it follows local laws and the landlord’s permission (if needed).
Yes, unless your rental agreement clearly allows subletting without consent. In most cases, written permission is required.
The subtenant can be held responsible, but the original tenant is still answerable to the landlord under the main lease.
Yes, we offer additional assistance for stamping, e-signing, notarization, or registration, if needed.
Not always. Some rental agreements specifically prohibit subletting. It’s important to check your original lease and speak with your landlord before proceeding.
The duration should be clearly defined and must fall within the term of the original lease. The sublease cannot go beyond the end date of the tenant’s lease.
Yes, the landlord has the right to reject a subtenant if they have valid reasons, especially when their approval is required under the main lease.
Typically, the subtenant pays the rent to the original tenant, who continues to pay the landlord. However, this can be modified as per the agreement.
StartFragmentYes, partial subletting is allowed if the landlord agrees and the original lease does not restrict it. The agreement should clearly mention which part of the property is being sublet. EndFragment
In such cases, legal action may be required. The original tenant remains liable, so it’s important to include clear termination and eviction clauses in the agreement.













